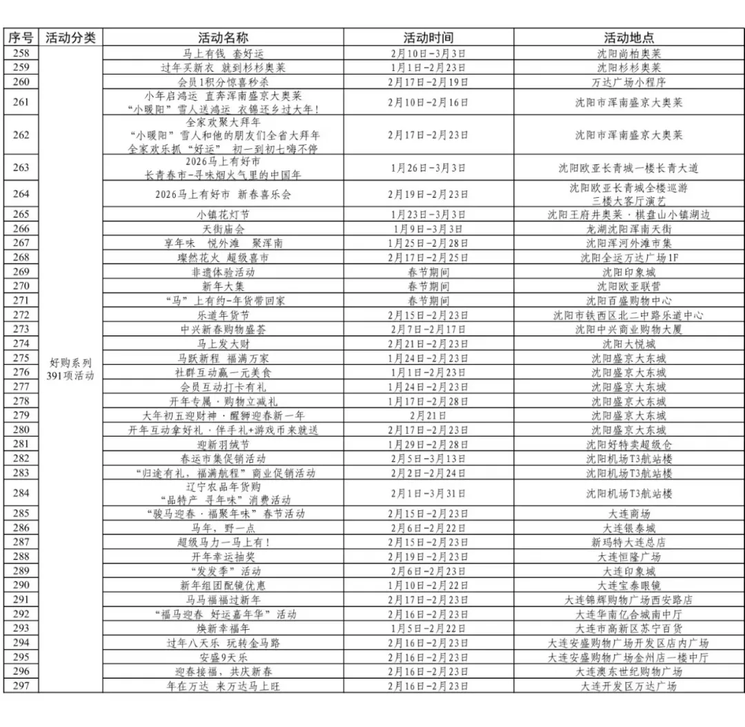
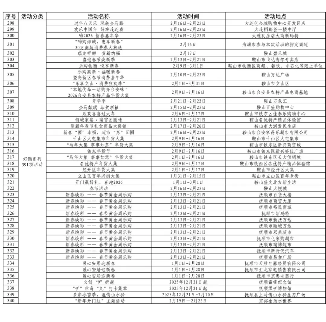
为贯彻落实商务部等9部门《2026“乐购新春”春节特别活动方案》部署,立足我省民俗文化丰富多元、辽品辽味品牌汇聚、冰雪项目丰富多彩的本土优势,省商务厅牵头制定并印发《“购在中国・乐在辽宁”—2026辽宁“乐购新春”春节特别活动方案》,于2026年2月15日—23日春节假期组织开展“购在中国・乐在辽宁”—2026辽宁“乐购新春”春节特别活动。
活动聚焦“好吃、好住、好行、好游、好购、好玩”六大板块,打造全场景消费体验。好吃在辽宁・寻味辽年迎新春围绕餐饮美食与非遗传承,联动餐饮名店、老字号推出年夜饭、非遗美食礼盒,打造融合文旅体验的特色美食市集。好住在辽宁・焕新安居享团圆聚焦家居焕新与品质住宿,推出“新春焕新家”惠民促消费活动,营造“住宿+民俗体验”的沉浸式年味住宿场景。好行在辽宁・畅行无忧乐旅途提升出行保障与便民服务,为消费者春节假期出行提供全方位暖心体验。好游在辽宁・潮玩打卡逛新春激活文旅消费与夜间经济,以马年贺岁为主题打造传统与科技融合的年味场景,激发夜间文体消费新活力。好购在辽宁・赶集囤货送好礼围绕年货市集与电商助农,汇聚辽味地标产品与非遗好物打造线下特色大集,同步搭建线上辽宁年货节专区与直播矩阵,将辽宁大集的热闹烟火气与地道好物搬到云端。好玩在辽宁・嬉雪览胜嗨新春聚焦冰雪休闲与文博研学,推出冰雪+温泉联动套餐与文博非遗特色展演,定制亲子研学、康养暖冬等主题游玩线路,丰富市民游客的节日游玩体验。
六大板块深度融合非遗、民俗、科技、康养等多元供给,串联起餐饮、家居、出行、文旅、年货、冰雪等多领域消费场景,打造全链条、沉浸式的春节消费体验,期间,全省超700场各类促消费活动将精彩呈现,全方位满足群众新春吃住行游购娱的多样需求。
省商务厅将统筹开展系列工作,推进乐购新春活动取得成效,助力春节假期消费市场提质扩容。以坚持政府引导、市场主导、全民参与的原则,联动各相关单位及各市引导商贸流通企业、电商平台、银行机构等市场主体参与,推出惠民促消费举措激发消费热情;以接地气、聚烟火气的思路做好宣传推广,通过媒体发布活动亮点、省市联动开展专题采访、重点场所布设宣传物料等方式,全方位提升活动覆盖面和知晓度;以强化部门协同与政策叠加,落实以旧换新补贴、有奖发票试点等政策,优化入境消费服务,“真金白银”惠及广大消费者。同时,严守安全底线,督促商户严格落实安全生产各项要求,让消费者尽享安全、放心、舒心的消费体验,共同欢度辽味中国年。


















(辽宁商务)
*本网站有关内容转载自合法授权网站,如果您认为转载内容侵犯了您的权益,
请您来信来电(024-23187042)声明,本网站将在收到信息核实后24小时内删除相关内容。